Kalibrierstandards zur Messung der elektrischen Leitfähigkeit
Zur Messung der elektrischen Leitfähigkeit mittels Wirbelstroms werden Kalibrierstandards verwendet, um das Messgerät einzustellen und zu überwachen. Diese Standards sind maßgeblich für die Messgenauigkeit der Systeme.
Aktuell gibt es zwei Arten von Leitfähigkeitsstandards. Zum einen sind Standards der PTB (Physikalisch-Technische Bundesanstalt) verfügbar, welche mit einer Gleichstrommessung (DC) bestimmt werden. Zum anderen gibt es Standards der NPL (National Physical Laboratory), welche auf einer Wechselstrommessung (AC) basieren. Beide Methoden und deren Vor- und Nachteile für die Messung der elektrischen Leitfähigkeit mittels Wirbelstrom werden im Folgenden beschrieben.
1. Messung der „DC“- Leitfähigkeit – Kalibrierung PTB
Die Leitfähigkeit ist der Kehrwert des spezifischen Widerstandes eines Materials. Als charakteristischer Materialparameter wird der spezifische Widerstand aus dem Spannungsabfall U bestimmt, der sich ergibt, wenn an den definierten Querschnittsflächen A und der Länge L des Materials ein eingeprägter I Strom angelegt wird.

Die auf diesem Weg gemessene Leitfähigkeit entspricht dem mittleren Leitfähigkeitswert des erfassten Materialvolumens. Mögliche Inhomogenitäten des Materials werden dabei über das gesamte Volumen ausgemittelt.
1.1 Übertragung der „DC“-Leitfähigkeitswerte (PTB) auf unser „AC“-Leitfähigkeitsmessgerät
Im Vergleich zur DC-Messung der Leitfähigkeit, wird bei der Wirbelstrommessung nur ein kleiner Volumenanteil des Materials unterhalb des Sensors erfasst. Unter der aktiven Fläche des Sensors (z.B. mit Ø 14 mm) nimmt mit zunehmender Tiefe die Wirbelstromdichte in grober Näherung exponentiell ab, d.h. das erfasste Materialvolumen ist innerhalb dieses Durchmessers hauptsächlich im Oberflächenbereich konzentriert.
Um den mittleren DC-Wert der Leitfähigkeit des Materials auf die Wirbelstrommessung direkt übertragen zu können, müssten mindestens folgende Voraussetzungen erfüllt sein:
- Das Material ist vollständig homogen.
- Der unmittelbare Oberflächenbereich hat exakt die gleiche Leitfähigkeit wie das Gesamtmaterial.
- Das Material ist in Bezug auf die Leitfähigkeit isotrop, d.h. es gibt keine Richtungsabhängigkeit.
Diese wichtigsten Voraussetzungen sind in der Praxis kaum vollständig umsetzbar oder kontrollierbar. Durch Prozessschritte wie dem Walzen, Pressen oder der Oberflächenbearbeitung, muss immer vom Vorhandensein dieser drei Einflüsse ausgegangen werden. Diese Einflüsse können sich in ihrer Ausprägung materialspezifisch deutlich unterscheiden.
Zur Ermittlung der möglichen Fehler bei der Übertragung der DC-Leitfähigkeitswerte auf die AC-Messung wurde zwischen den Jahren 2000 und 2003 das EU-Projekt G6RD-CT-2000-00210 durchgeführt.
Dabei kam es zu folgenden Ergebnissen und Schlussfolgerungen:
- Aufgrund der oben genannten möglichen Materialeinflüsse, die nicht vollständig erfasst werden können, muss beim Übergang von den DC-Werten auf die AC-Messung ein Fehler von mindestens 0,5% des Messwertes berücksichtigt werden. Dieser Fehler, bedingt durch Abweichungen zwischen den DC- und AC-Methoden, stellt eine untere Minimal-Schranke der Unsicherheit dar, die nicht unterschritten werden kann.
- Die DC- / AC-Unterschiede sind materialspezifisch. Insbesondere die herstellungsbedingten Anisotropieeinflüsse und Oberflächenspannungen resultieren in Leitfähigkeitsabweichungen.
2. Messung der „AC“- Leitfähigkeit – Kalibrierung NPL
Eine andere Möglichkeit, die elektrische Leitfähigkeit zu messen, ist die Nutzung eines homogenen Wechselmagnetfeldes, z.B. in Form einer Toroidspule. Wird Material in der Spule positioniert, so ändert dies die Spulenimpedanz. Auf Basis dieser Änderung, der elektrischen Parameter und der Spulengeometrie kann die elektrische Leitfähigkeit berechnet werden. Der Primärstandard besteht aus zwei Hälften. Zur Messung der Leitfähigkeit wird dieser in der Spule zusammengeführt und die Messung gestartet.

2.1 Übertragung der „AC“-Leitfähigkeitswerte (NPL) auf unser „AC“-Leitfähigkeitsmessgerät
Zur Übertragung der nun bekannten elektrischen Leitfähigkeit des Primärstandards, wird statt der Toroidspule eine Tastspule verwendet, welche auf die Oberfläche aufgesetzt wird. Die Spulenimpedanz wird mit der gleichen Elektronik vermessen. Die Leitfähigkeitswerte des Primärstandards werden nun mit der Impedanz der Tastspule korreliert.
Jetzt kann der Leitfähigkeitswert auf einen Sekundärstandard übertragen werden. Das Verfahren zur Übertragung der Leitfähigkeitswerte von Primärstandard (Ring) zu Sekundärstandard (Platte) mit Tastspule ist identisch zum Messprinzip des mobilen Messgeräts SIGMATEST von FOERSTER. Daher kann die Unsicherheit der Standards direkt übernommen werden.


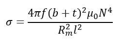
Mit folgender Formel kann die Leitfähigkeit berechnet werden:

wo:
-
σ = die Leitfähigkeit des Rings in S/m
-
b = die mittlere Breite des Standardrings in m
-
t = die mittlere Dicke des Standardrings in m
-
μ₀ = die magnetische Konstante, 4𝝅x10-7 H/m
-
N = die Anzahl der Windungen in der Wicklung = 30
-
Rm = der Wirbelstromwiderstand
-
l = die mittleren Umfänge des Standardrings in m𝝅
3. Zukunft der FOERSTER Leitfähigkeitsstandards
Mit dem neuen SIGMATEST 2.070 wird FOERSTER die Leitfähigkeitsstandards auf die AC-Messmethode der NPL zurückführen.
4. Prüfung auf Basis der PTB Werte weiterhin möglich
Auch nach der Umstellung auf die AC-Messmethode können Sie das SIGMATEST 2.070 auf DC-Standards einrichten. Hierzu kann eine Kalibrierung mit zwei oder mehr DC-Standards durchgeführt werden. So wird die im Gerät gespeicherte Leitfähigkeitskurve auf den benötigten Bereich angepasst. Empfohlen wird von FOERSTER in Zukunft die Nutzung von Standards auf Basis der AC-Messung.
Haben Sie noch Fragen? Dann zögern Sie nicht, unsere Experten zu kontaktieren!
Share this
Vielleicht gefällt Ihnen auch
Verwandte Artikel
Leitfähigkeitsmessung mit Wirbelstrom - 6 Faktoren auf die Sie achten sollten
Messung der elektrischen Leitfähigkeit nicht ferromagnetischer Metalle
